项目推荐
项目介绍
样品要求
结果展示
常见问题
预约须知
1. 粉末样品50mg,能平铺成3*3mm面积即可;
2. 块体/薄膜样品,尺寸3-100mm,厚度0.5mm最佳;
3. 液体样品0.5ml以上;
4. 测试范围:SAXS: 0.05-1 nm-1,WAXS2 - 40°;若未知请提供相关参考文献,如需变温测试请提前沟通;
5. 由于机时有限,请联系前期对接的技术顾问;
展开全部收起
项目介绍
当物质中的电子密度不均匀区在纳米尺度(一般介于0.1~200nm 之间).时,X 射线与之相互作用后在原光束方向附近的很小角度内散开,这个角域范围在几度(一般<3°).以内,这种现象称为小角X射线散射(Small Angle X-ray Scattering,简写为SAXS)。 由于X 射线是与原子中的电子发生相互作用,所以SAXS对电子密度的不均匀性特别敏感,凡是存在纳米尺度电子密度不均匀区的物质均会产生小角散射现象。
样品要求
1、粉末:重量一般大于50 mg,粉末试样应研磨成无颗粒感;
2、合金(或块状试样):试样因其太厚,光束无法透过,因此必须减薄(使试样减薄而不改变其内部结构),合金试样测试要求厚度一般为几至几十微米;
3、薄膜:薄膜试样如果厚度不够,可以用几片相同的试样叠加在一起测试;
4、液体:样品量0.5 mL,浓度适中;①溶质在溶剂中完全溶解,即无沉淀,②溶质与溶剂的电子密度差应尽可能大;
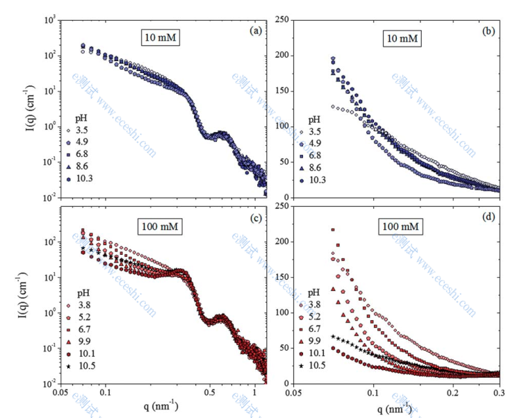
结果展示

数据来源:Bridging interactions of proteins with silic nanoparticles: The influence of pH, ionic strength and protein concentration†;Soft Matter, 2014, 10, 718–728;
常见问题
SAXS对样品的要求?
薄片,直径10mm以上,厚度0.5mm最佳;粉末100mg;能够覆盖直径10mm的区域即可;

小角散射SAXS主要应用有哪些?
1).研究高分子材料内部的片晶、孔洞等缺陷的微结构,以及高分子材料加工过程中的结构演变。
2).研究高性能纤维材料内部的缺陷微结构,及在纺丝成型过程中的动态结构演变。
3).研究胶体系统、纳米颗粒及多孔材料中散射体的尺寸分布、界面层及分形结构。
4).研究金属合金中的颗粒或聚集态结构及冷热加工变形后的结构变化。
400-630-1090
论文致谢