项目推荐
热刺激电流仪(TSC)
项目介绍
样品要求
结果展示
常见问题
预约须知
1. 设备可测试频段:
安捷伦4294A:40Hz~100MHz(该设备无法做高温测试);
安捷伦4980A:介电温谱和变温介电频谱,,40Hz~2MHz,低温:-120~400 ℃, 高温:室温~750℃;
安捷伦4294A、4980A样品,尺寸要求直径或长宽20mm以内,厚度3mm以内,只能测试介电常数和介电损耗,无法得到磁导率;
安捷伦E4991A:该设备无法做高温测试,介电常数、磁导率均可测试,
磁导率尺寸:1MHz-1GHz,内径不小于4mm,外径不大于19mm,厚度2-5mm的圆环;
介电常数样品尺寸:1MHz-3GHz,不小于10mm*10mm的圆片或正方形,厚度范围0.3mm-3mm;
哈尔滨巨浪-TZDM-RT-1000:介电温谱(定频率变温度)和频谱(定温变频率),频率范围20Hz~ 200kHz;温度范围: 室温 - 1000 ℃;样品直径或长宽1.5-25 mm,厚度:0.02-4 mm,粉末最少1g,只能做银电极;
2、测试条件中“室温测试”非精准的25℃,如果需要精准的25℃需要在下单时选择“高温测试”;高温测试中测试温度不得高于样品熔点以下50℃,若因隐瞒信息导致设备损坏,需要承担相应责任;
3、块体样品如需要提供其他处理工艺可提前咨询告知;粉末样品提供1g以上(或按样品密度计算能够制备2-3个合适体积的样品的粉末量),如果压片后需要烧结的需要提前告知,并提供烧结工艺(烧结根据具体工艺需要额外收费),不告知默认压片后直接测试,做粉末样品受压片等因素影响风险大,只如实记录真实的数据,不做解释和复测处理;
4.介电常数测试使用的方法是平行板电容器法,需在样品的上下面都有电极,样品表面粗糙、不均匀的建议选择银电极,自己做好电极的,电极最小要肉眼可见或引出来引线;
5.如有其他疑问,请联系前期对接的技术顾问;
展开全部收起
项目介绍
绝缘材料介电性能测试可以通过测试CP-D、介电频谱、介电温谱来得到介电常数和介电损耗的数据。介电常数反映的是材料的介电性质或极化性质,通常用ε来表示。不同用途的压电元器件对压电材料的介电常数要求不同。介电损耗指的是电介质在电场的作用下,由于电极化弛豫过程的漏导等原因在电介质内所损耗的能量。
样品要求
1、安捷伦4294A、4980A:直径或长宽20mm以内,厚度3mm以内,尽量不要太大;以上两台设备只能测试介电常数和介电损耗,无法得到磁导率;
2、E4991A:介电常数、磁导率均可测试,磁导率尺寸内径不小于4mm,外径不大于19mm,厚度2-5mm的圆环;介电常数样品尺寸:1MHz-3GHz,不小于10mm*10mm、不大于20mm*20mm的圆片或正方形,厚度范围0.3mm-3mm;
3、哈尔滨巨浪-TZDM-RT-1000:介电温谱(定频率变温度)和频谱(定温变频率),频率范围20 Hz~ 200 kHz;温度范围: 室温 - 1000 ℃;样品直径或长宽1.5-25 mm,厚度:0.02-4 mm,粉末最少1g,只能做银电极
4、粉末样品可自行压片,要求压片紧实,避免破碎,实验室亦可提供压片与烧结服务,需提供具体的工艺,具体费用请咨询技术顾问老师。样品要求上下表面平整,否则会有误差。
结果展示
介电频谱:

复阻抗:


介电温谱:

常见问题
安捷伦E4991A测试注意事项。
该设备测试介电常数于介电损耗是分开测试输出,因此需要收两次费用,复介电常数测试只需收一次费用;测磁导率和磁损耗也是分开测试输出,因此需要收两次费用,复磁导率只需要收一次费用。
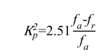
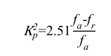
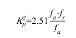
机电耦合系数、机械品质因数的概念及计算公式?
机电耦合系数是一个综合反映压电材料的机械能与电能之间耦合关系的物理量,是压电材料进行机-电能量转换能力的反映。其计算公式为:

其中,𝑓𝑎为反谐振频率,𝑓𝑠为谐振频率,K为机电耦合系数。
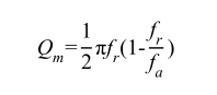
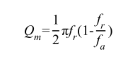
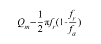
机械品质因数是指压电材料在振动时,为了克服内摩擦需要消耗能量。机械品质因数反映的是能量消耗大小的一个参数。 Qm越大,能量消耗越小。其计算公式为:

其中,𝑓𝑎为反谐振频率,𝑓𝑠为谐振频率,Qm为机械品质因数。
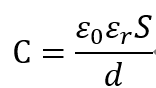
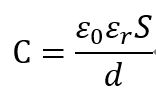
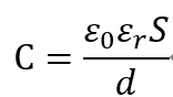
阻抗测试所得电容与介电常数之间的转换。
在测试介电常数时,阻抗测试所得结果数据为电容,可换算为相对介电常数,根据公式:

可得

其中,C表示电容(单位F);ε0表示真空介电常数,压电陶瓷中其值为8.85×10-12 F/m;S表示正对电极的面积。
介电常数、介电损耗的概念。
介电常数反映的是材料的介电性质或极化性质,通常用ε来表示。不同用途的压电元器件对压电材料的介电常数要求不同。
介电损耗指的是电介质在电场的作用下,由于电极化弛豫过程的漏导等原因在电介质内所损耗的能量。
测试前是否需要进行极化处理?
一般不需要进行极化处理。
介电温谱、介电频谱、CP-D的区别。
介电温谱:测试所得到的数据是介电常数、介电损耗与温度的关系,频率为定值,测试时最多可以指定5个频率点;
介电频谱:测试所得到的数据是介电常数、介电损耗与频率的关系,温度为定值;
CP-D:测试所得到的是固定温度,固定频率下的介电常数和介电损耗。
电极种类的选择要求。
测试温度低于500℃时,可选用银电极;测试温度大于500℃且小于800℃时,可选用金电极;测试温度大于800℃时,应制备铂金电极。
400-630-1090