国家高新技术企业 CNAS/CMA ISO认证 专精特新企业 新型研发机构 博士后创新实践基地

预约须知

暂不预约,了解常见问题 立即预约

  • 注册即送

    200元首样免单券

  • 首单有礼

    最高600元

  • 邀友得返利

    10%返利

注册即送

200元首样免单券

首单有礼

最高600元

邀友得返利

10%返利

首页 测试百科 碳/碳复合材料常见表征方法

碳/碳复合材料常见表征方法

C/C复合材料 表征方法


碳/碳复合材料(c-c composite or carbon-carbon composite material,简称:C/C复合材料)是碳纤维及其织物增强的碳基体复合材料。具有低密度(<2.0g/cm3)、高强度、高比模量、高导热性、低膨胀系数、摩擦性能好,以及抗热冲击性能好、尺寸稳定性高等优点。
C/C复合材料种类多,性能各异,它们如何表征呢?本文给大家介绍几种常见表征方法。

  

1.扫描电子显微镜(SEM)

C/C-Cuf复合材料、C/C-Cu复合材料和纯碳带在各自的基体中都表现出紧凑结构,图b、e显示纯碳带在基体中具有均匀的微观结构,有许多直径超过20µm的孔隙。图c、f显示c/c-Cu复合材料由碳纤维、树脂碳(深色区域)和铜合金(浅色区域)组成。

图1:C/C-Cuf复合材料、C/C-Cu复合材料和纯碳带SEM图像
2.透射电子显微镜(TEM)
通过TEM研究GNs在CNTs表面的生长过程,a显示了CNT表面的典型TEM图像,表明CNT具有多层结构和良好的结晶度。在CF-CNT-GN-30中,CNT壁中观察到纳米缺口(b、c黄色星形)是GN的生长核,生长形成GN和CNT基底之间的共价键。d中观察到不同尺寸的GNs,表明在整个生长阶段都存在成核反应。在CF-CNT-GN-60中的CNT的石墨壁处显示出许多蚀刻坑(e、f),CF-CNT-GN-120中CNT衬底被严重蚀刻和破坏,部分CNT消失(h),在反应的后期,许多交织的GNs完全覆盖CNT,形成狼牙棒状的杂化CNT-GN杂化结构(h、i),CNT-GN-90最有可能制备具有高力学性能的CNT-GN-C/C复合材料。

图2:CF-CNT-GN杂化预制件的TEM图像(a) CNT; (b, c) CF-CNT-GN-30; (def) CF-CNT-GN-60; (g) CF-CNT-GN-90 ;(h, i) CF-CNT-GN-120
3. 偏光显微镜(PLM)
采用PLM研究CNT-C/C和CNT-GN-C/C复合材料的抛光横截面,对于热解碳(PyC)晶粒尺寸大得多的CNT-C-C复合材料,可以观察到直的晶界。相CNT-GN-C/C复合材料中的PyC具有较小的晶粒尺寸和较短的弯曲晶界。CNT-C/C的PyC结晶尺寸明显大于CNT-GN-C/C复合材料的PyC晶粒尺寸,表明CNT-GN-C/C复合材料中存在细化的基体。

 图3:CNT-C/C和CNT-GN-C/C复合材料横截面PLM图像
4. 拉曼光谱(Raman)
图中显示了洋葱状碳OLC/CNF膜在不同碳化温度下的拉曼光谱结果。所有样品分别在1350 cm−1和1580 cm−1附近具有明显的D峰和G峰(sp2杂交的特征峰,其存在表明材料中存在石墨结构)。

 图4:拉曼光谱图
5.傅里叶红外光谱(FTIR)
使用傅里叶红外光谱仪分析OLC/CNF前体、OLC/CNF-中间体和OLC/CNF.膜的化学官能团。OLC/CNF前体的特征峰为–CN、–CH和–CH2,在红外光谱中分别位于2243–2240 cm−1、2940 cm−1、2850 cm−1、1450 cm−1和1360 cm−1和1050 cm−1处(见图S7)。预氧化后,位于2243 cm−1的–CN官能团逐渐消失,取而代之的是位于约1660 cm−1处的–C–C–。由于–C–C–的出现,1450 cm−1处的–CH2逐渐消失(非常微弱)。
800cm−1处出现一个微弱的峰值,碳原子开始重组。此时,OLC/CNF前体转化为OLC/CNF中间体,碳化过程中,随着温度的升高,官能团仅保留在1547cm−1(–C–C–)和1270 cm−1(-C–C-),碳化基本完成。碳化温度达到1100℃时,所有官能团特征峰几乎消失,表明碳化已经完成。OLC/CNF中间体转变为OLC/CNF膜。 

图5:OLC/CNF前体、OLC/CNF-中间体和OLC/CNF.膜的FTIR图
6.X射线光电子能谱(XPS)
酸处理样品的碳原子结合能增加了1eV,表明纤维表面的碳原子在酸处理后形成C-O键和C-H键。 

 图6:全光谱XPS及C元素的XPS光谱
7.X射线衍射(XRD)
G/CFF-50峰值在25.8处,26.88处的衍射峰是石墨化之前石墨预浸料中的石墨,石墨化后的衍射峰位置为26.58,44.7, 和54.7,对应于石墨的(0 0 2)、(0 0 3)和(0 0 4)晶相。高温石墨化导致前体的晶体重构,晶格间距减小,从而合成了C/C复合材料。具有不同CF质量分数的样品对应的衍射峰强度不同,总体趋势是先增加后略有减少。

 图7:石墨化前后G/CFF预成型体的XRD图谱
8.X射线探伤
X射线断层扫描对孔分布及孔径分析,G/CFF-50的孔径主要在13µm左右,这种尺寸的孔径数量约占62%。C/C-50孔径分布在13、20和27µm左右,该尺寸的孔径数量分别约占15%、26%和13%。G/CFF-50的孔体积约占整个样品的1.65%,而C/C-50的孔容积约占3.47%,X射线结果表明,高温石墨化会导致孔隙膨胀,导致样品密度降低,但热等静压可以有效抑制孔隙膨胀。

 图8:(a)G/CFF-50、(b)C/C-50孔径统计
9.比表面积及孔径分析(BET)
OLC/CNF前体的吸附和解吸曲线显示出可逆的III型等温线,造成这种情况的主要原因是无孔气体吸附等温线。

 图9:OLC/CNF中间体的吸附和解吸曲线
10.纳米压痕
采用纳米压痕试验研究CNT-GN-C/C、CNT-C/C力学性能和典型的深度-载荷曲线。CNT-C/C的压痕深度更深,CNT-GN-C/C的弹性模量更大,表明CNT-GN-C/C基体的内聚力和承载能力增加。

 图10:纳米压痕的典型载荷-深度曲线
11.常规力学性能(万能试验机)
OLC/CNF的拉伸应力和拉伸应变随着OLC含量的增加而前兆增加。当OLC的添加量为10wt%时,拉伸应力达到其最高值(3.9MPa)。

 图11:OLC/CNF拉伸测试
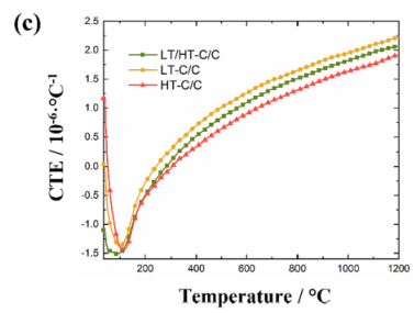
12.热膨胀系数(CTE)
HT-C/Cs的CTE最低,LT-C/C复合材料的CTE最高。LT/HT-C/C复合材料CTE接近LT-C/C和HT-C/C的平均CTE。

 图12:具有不同改性工艺的C/Cs的CTE
13.热导率
UD-3的最高热导率为5.321W/(m•K),GD-1的最低热导率为3.385W/(m·K)。 

 图13:梯度和均匀C/C复合材料的的平面外热导率
 14.氧乙炔烧蚀
所有样品的中心都被强烈烧蚀,而边缘完好,烧蚀中心表面的最高温度在1958℃-2060℃之间。GD-3的最低质量消融率和线性消融率分别为0.0055g/s和0.0145mm/s。UD-1的最高质量消融率和线性消融率分别为0.0112 g/s和0.0350 mm/s。在相同的纤维体积分数下,梯度复合材料的烧蚀速率低于均匀复合材料。

图14.烧蚀后C/C复合材料的宏观形貌 
表1:三维编织C/C复合材料的烧蚀性能

 参考文献
[1] PeiWang,FengminyuXie,David Wexler,Jian Yin,Hongbo Z h a n g ,Hongtao Zhu.Tribological be ha viors of copper modified ca rb on /carbon co mp osit es for pantograph strip under electric cur rentconditions[J].Tribology International,2023.
[2] Liyuan Han , Caixiang Xiao , Qiang Song, Xuemin Yin , Wei Li , K e zhi Li , Yunyu Li.Nanoin ter face effect of graphene on ca rb onnanotube reinforcedcarbon/carbon comp osites[J]. Carbon , Carbon 190 (2022) 422-429.
[3] Ze-yu Guo , He-Dong Huang , Ding Nan , etc .Preparation an delectrothermal performance of o nion-like carbon/c arbonna nofibre composite f il m[J ].Chemical Physics Letters,2023.
[4] Shen Qingliang ,  Yang Guangmeng , Xiao Ca ixiang , Li Hejun ,  Song Qiang , Lu Jinhua,M.W. Fu . Control of multi-scale crack ing for improvement of the reliability of carbon/carbon compos ites  via design of interlaminar stress[J].Composite Structures , 2 97(2022)115985.
[5] Maojun Li , Xiaoyang Jiang, Yajie Chen, Xujing Yang.Hole surf ace morphology and tool wear me c hanisms during cutting 3D c ar bon/carbon composites using diamond core drill[ J].Cer a m i cs International, 49(2023)6378-6388.
[6] Johannes Reiner, Darren Narain, Peng Zhang, Emmanuel A. Flores-Johnson ,Ondrej M ura nsky. Pr ogres sivefracture testin g of Carbon–Carbon composites [J].Ce ramic sInternational, 49 ( 2 023)6451-6458.
[7] Yang Liu , Zhongde Shan , Zhigang Lv , Zheng Sun , Wudi Du. Research on the thermal co nduc tivity and ablation perform ance of gradient 3D woven carbon/carbon composite[J].Cerami c s International,2023.
[8] Zhufeng Hu , Yuchen Tong , Min Wang , Junbo Xu b , Chao Y ang. Rapid and low-cost carbon/carbon composites by using g raphite slurryim pregnated prepregs[J].43(2023)4363-4373.

[9] Hui Wang,Ritian Ji, Guangming Xiao, Zhiguo Q u.Pore scale visualization of thermal-fluid-structural evolution in the ablat i o n of carbon/carboncomposites[J].Aerospace Science and Tec h n ology,130( 2022)107924.

本文为e测试原创,未经允许,禁止转载!

建议/投诉

我们承诺:工作日内24小时受理,48小时出具解决方案。您也可直接联系:400-630-1090

*反馈类型
服务态度 测试周期 数据质量 开票报账 费用问题 功能使用 样品相关 其他
*反馈描述
*联系方式
附件说明
+

请完成安全验证

为了给您提供更专业的服务

请选择类型

学生

教职工

企业

医院

研究所

我选好了 先不填,跳过