国家高新技术企业 CNAS/CMA ISO认证 专精特新企业 新型研发机构 博士后创新实践基地

预约须知

暂不预约,了解常见问题 立即预约

  • 注册即送

    200元首样免单券

  • 新客专享

    超大折扣

  • 邀友得返利

    10%返利

注册即送

200元首样免单券

新客专享

30+检测项目

邀友得返利

10%返利

首页 测试百科 祝贺!中科院物理所,最新《Nature》!重磅成果将载入教科书!

祝贺!中科院物理所,最新《Nature》!重磅成果将载入教科书!

超导态 迈斯纳效应 铜氧化物超导体

一、研究背景

1911年,荷兰莱顿大学的卡末林—昂内斯意外地发现,将汞冷却到-268.98℃时,汞的电阻突然消失;后来他又发现许多金属和合金都具有与上述汞相类似的低温下失去电阻的特性,由于它的特殊导电性能,卡末林—昂内斯称之为超导态。卡茂林由于他的这一发现获得了1913年诺贝尔奖。

人们把处于超导状态的导体称之为“超导体”。超导体的直流电阻率在一定的低温下突然消失,被称作零电阻效应。导体没有了电阻,电流流经超导体时就不发生热损耗,电流可以毫无阻力地在导线中形成强大的电流,从而产生超强磁场。

超导材料和超导技术有着广阔的应用前景。超导现象中的迈斯纳效应使人们可以用此原理制造超导列车和超导船,由于这些交通工具将在悬浮无摩擦状态下运行,这将大大提高它们的速度和安静性,并有效减少机械磨损。利用超导悬浮可制造无磨损轴承,将轴承转速提高到每分钟10万转以上。超导列车已于70年代成功地进行了载人可行性试验,1987年开始,日本开始试运行,但经常出现失效现象,出现这种现象可能是由于高速行驶产生的颠簸造成的。超导船已于1992年1月27日下水试航,目前尚未进入实用化阶段。利用超导材料制造交通工具在技术上还存在一定的障碍,但它势必会引发交通工具革命的一次浪潮。

在发现铜氧化物超导体后不久,人们首次观察到了它们正常状态电阻率中的奇怪金属行为。在几个超导氧化铜中,现在已经报道了电阻率作为温度的线性函数(线性电阻率)变化到几百开尔文的不寻常行为。在最佳掺杂附近的狭窄组成区域中,T中线性行为延伸到低温(接近Tc),表明在量子临界点(QCP)的临界行为。在空穴掺杂的氧化铜La2–xSrxCuO4(LSCO)中,发现在接近最佳掺杂的扩展范围内,线性电阻率在低至1.5 K的正常态输运中占主导地位,超导性被高磁场抑制。对于电子掺杂的氧化铜,完美的线性电阻率在Pr2–xCexCuO4和La2–xC exCuO4(LCCO)中的20 mK。特别是,研究发现LCCO的奇怪金属行为始于与费米表面重构(x ≈ 0.14)相关的掺杂水平,止于超导圆顶的终点(xc≈0.175±0.005),在那里它进入金属(非超导)费米液体状态。最近,在反铁磁(AF)区域(例如,x = 0.12和0.13)中也观察到了奇异金属状态。奇异金属态的一个重要特征是线性电阻率系数(即ρ = ρ0 + A1T的A1)与Tc呈正相关,表明异常正常态与超导性之间存在密切联系。

二、研究成果

掺杂水平发生微小变化时,性质会发生显著变化,这是控制氧化铜超导性的复杂化学的一个标志,正如在精确成分下发生的著名超导圆顶和量子临界所证明的那样。电阻率随温度线性变化的奇怪金属状态已经成为铜氧化物超导体正常状态的主要特征。这种现象的普遍存在标志着散射机制和超导性之间的密切联系。然而,这种相关性缺乏清晰的定量描述。

近日,中国科学院物理研究所赵忠贤院士团队金魁研究员、胡江平研究员和美国马里兰大学Ichiro Takeuchi教授等人报道了在电子掺杂的氧化铜La2–xCexCuO4(LCCO)中超导转变温度(Tc)、线性T散射系数(A1)和掺杂水平(x)之间的精确定量标度律的观察。外延成分扩散膜的高分辨率表征涵盖了LCCO的整个过掺杂范围,使我们能够以前所未有的精度和Δx = 0.0015的增量系统地绘制其结构和输运性质。作者发现了关系式Tc ~(xc–x)0.5 ~(A1)0.5,其中xc是超导性消失的临界掺杂,A1是每CuO2平面的线性电阻率系数。铜氧化物、铁基和有机超导体之间Tc与A1关系的惊人相似性可能表明这些系统中奇异金属行为和非常规超导性的共同机制。

相关研究工作以“Scaling of the strange-metal scattering in unconventional superconductors”为题发表在国际顶级期刊《Nature》上。祝贺中科院物理所!

三、图文速递

图1. LCCO的组合合成和多尺度结构表征

图2. 电输运性质的微区表征

作者首先分别使用波长色散X射线光谱(WDS)和内部衍射仪对成分和相应的c轴晶格常数变化进行标准的“低分辨率”分析。如图1b所示,LCCO膜中的WDS映射铈(Ce)浓度显示了对位置的预期依赖性,跨度为0.10 ≤ x ≤ 0.19。WDS测定浓度的不确定度通常为2%。图1e显示了沿成分梯度方向积分的整个分布的θ/2θ X射线衍射(XRD)图。图1f、g分别示出了LCCO (006)和STO (002)峰,使用内部衍射仪以0.4 mm的光束尺寸(图1c)和0.5 mm的步长绘制在沿分布的不同位置。随着掺杂浓度的增加,LCCO (006)峰移动到更高的角度,而STO (002)峰不变。图1h显示了在标准条件下操作的内部衍射仪的光束尺寸的限制所确定的具有误差条的分布芯片上的相应晶格常数图。因此,尽管与内部表征相关的测量不确定性相对较大,但在整个分布长度上,组成和晶格常数的整体变化平稳且良好。 

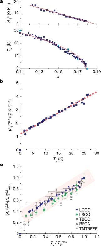
图3. 系统分布数据揭示的定量标度和不同非常规超导体的比较

作者注意到,在对空穴掺杂铜酸盐YBa2CuO7–δ的电子辐照的早期研究中,发现不同数量的无序对Tc有很大影响,但线性电阻率的斜率几乎没有变化,这似乎与本文报道的标度定律不一致。然而,与作者研究中的系统化学取代不同,电子辐照在CuO2平面中引入了Cu和O空位,这可以改变局部Cu-O电子结构。因此,不期望在纯化合物中观察到的标度律适用于这种无序材料。在图3b中,( A1)0.5的线性拟合外推至Tc=0时的有限值,这在Bi2Sr2CuO6+δ和LSCO中也是可见的。然而,当接近Tc=0的超导圆顶末端的QCP时,线性电阻率消失,即A1变为零。这种偏离可能是由于QCP附近的量子涨落或强配对涨落,导致(A1)0.5偏离线性关系。不幸的是,Tc测定的不确定性和接近QCP的线性电阻率温度范围的降低使我们无法获得该区域的定量描述。进一步的研究正在进行中,以进一步了解LCCO超导电性的起源。

四、结论与展望

研究者一致努力将A1和Tc之间的关系量化为化学掺杂浓度的直接函数。然而,由于缺乏足够密度的足够数据点来绘制掺杂相图,明确的表达式是未知的。为此,作者使用了高精度的薄膜成分分布,涵盖了LCCO的整个过掺杂范围,掺杂浓度δx的增量精度为0.0015。系统的实验揭示了超导转变温度(Tc)、掺杂水平(x)和T-线性系数(A1)之间的显著标度律,即Tc ~(xc–x)0.5 ~( A1)0.5。这里,A1是通过相邻CuO2平面之间的距离归一化的T线性系数,即A1 = A1/d,其中d是c轴晶格常数的一半(d = c/2 ),精确映射到整个范围。这项发现指出了一个普遍的关系铜氧化物、磷氮化物和一类有机超导体之间的归一化T-线性系数和Tc,强烈暗示了在这些非常规超导体中起作用的共同潜在物理机制。

五、文献

文献链接:

https://www.nature.com/articles/s41586-021-04305-5

本文为e测试原创文章,未经允许,禁止转载。

建议/投诉

我们承诺:工作日内24小时受理,48小时出具解决方案。您也可直接联系:400-630-1090

*反馈类型
服务态度 测试周期 数据质量 开票报账 费用问题 功能使用 样品相关 其他
*反馈描述
*联系方式
附件说明
+

请完成安全验证

为了给您提供更专业的服务

请选择类型

学生

教职工

企业

医院

研究所

我选好了 先不填,跳过