国家高新技术企业 CNAS/CMA ISO认证 专精特新企业 新型研发机构 博士后创新实践基地

预约须知

暂不预约,了解常见问题 立即预约

  • 注册即送

    200元首样免单券

  • 首单有礼

    最高600元

  • 邀友得返利

    10%返利

注册即送

200元首样免单券

首单有礼

最高600元

邀友得返利

10%返利

首页 测试百科 《Nature Chemistry》:COFs!

《Nature Chemistry》:COFs!

Nature Chemistry COFs 拓扑结构 柔性 USTB-5


01
研究背景
为了了解材料的高分辨率结构,人们一直在不断努力。研究结构和性能之间相关性的实践,促进了材料化学的发展。单晶X射线衍射(SXRD)是一种强大的表征技术,能够确定晶体材料中的原子排列。对于通过相对较弱键连接在一起的结晶材料,如金属有机框架(MOFs)和超分子网络,柔性和可逆键有利于结晶,可直接进行SXRD表征。然而,对于强共价键连接的坚固材料,如共价有机框架(COFs),有机部分的聚合通常会产生微晶或无定形固体,其具有高的离解键能和较差的键可逆性,阻碍了SXRD对其结构特征和复杂性的研究。
共价有机框架(Covalent Organic Frameworks, COFs)是一类由轻质元素(C、H、N、O等)通过强共价键连接的有机多孔晶态材料,具有结晶性好、密度低、比表面积高及结构可设计性强等特点, 广泛应用于分离、催化、电子和质子传导等领域。大多数COF结构都是根据粉末X射线衍射(PXRD)数据建模,并考虑网络拓扑结构。由于分辨率低,结构信息有限(源自小且有缺陷的COF晶体的较差和重叠/增宽信号),导致很大的不确定性。到目前为止,解决COFs结晶问题,以生成用于SXRD分析的大尺寸单晶,仍然是一个悬而未决的的挑战。


02
研究成果
近日,北京科技大学姜建壮教授、福建师范大学陈邦林教授和北京科技大学王海龙教授合作报道了通过四(苯基)二甲基四醛和四胺构建块的聚合,制备了具有互穿qtz拓扑结构的柔性COF。通过沿c轴大各向异性的正热膨胀(αc=+491×106 K1),以及通过从孔中去除溶剂分子的结构转变,该材料显示为柔性。通过将亚胺键分别还原和氧化为胺键和酰胺键,合成和去溶剂化的材料经历单晶到单晶的转变。氧化还原诱导的键转化使COFs对强酸具更好的稳定性;磷酸的负载导致无水质子传导率高达约6.0×102 S cm1
相关研究工作以Linkage conversions in single-crystalline covalent organic frameworks”为题发表在国际顶级期刊Nature Chemistry》上。祝贺!


03
研究内容
在苯胺和冰醋酸存在下,3,3′,5,5′-四(4-氨基苯基)双甲酰(TAPB)和3,3′,5,5′-四(4-甲酰基苯基)双甲酰(TFPB)在1,4-二氧六环中反应5 天,得到克级USTB-5的块状单晶(图1和2a)。制备的大型USTB-5高达约ca. 450 μm ,在短时间内比3D亚胺键合单晶COFs高得多,甚至与MOFs相当。100.0 K时SXRD分析确定USTB-5在六方晶系P6222空间群中结晶。在USTB-5的不对称单元中,八分之一的TFPB和TAPB片段重叠,并且与N和C原子的无序共占不可区分。在USTB-5中,沿着c轴的两种螺旋通过亚胺连接连接(图2b–d)。这种由非手性结构组装而成的复杂螺旋结构不同于COF-505中的双链螺旋共价聚合物和波状有机螺旋线,从而形成了USTB-5独特的手性。六重螺旋轴双股螺旋,螺距39.66 Å一起摆动形成一个开放的螺旋管。此外,还有六根三重螺旋轴单股螺旋管,螺距19.83 Å围绕双股螺旋管。当无法区分的TFPB和TAPB构建块被简化为同一个4连通节点时,为USTB-5生成了qtz拓扑网络。三个这样的拓扑框架进一步与来自两个不同网络的两个单链螺旋相互渗透,填充在另一个网络的双链螺旋中,得到沿c轴孔径约为9.8 Å的USTB-5多孔结构(图2a)。

 

图1. 单晶亚胺COF向胺或酰胺COF的化学转化

SXRD测量温度从100.0 K升高至300.0 K,USTB-5的柔性特性表现为单位电池体积的热膨胀达到+263 Å3(+5%)。在200 K时,柔性a/b和c轴分别显示出−3%和+10%的负和正热膨胀。对于USTB-5,根据在100.0和250.0 K下可变温度晶体学数据,线性热膨胀系数为αa=−82×106 K1和αc=+491×106 K1,证实了由αc引起的USTB-5的大正热膨胀+100×106 K1这种大的各向异性热膨胀沿c轴而不是在ab平面内发生,应该与柔性多孔USTB-5中三层互穿网之间沿c轴的微弱范德华力密切相关

 

图2. USTB-5的制备和晶体结构以及相应的可逆结构转变

用NaBH4或NaClO2进行单晶USTB-5的化学还原和氧化,并用红外(IR)光谱进行监测。结果显示,1630 cm−1处亚胺键完全消失,1247 cm−1出现的新峰是由于N–H振动引起,表明亚胺USTB-5完全化学还原为胺USTB-5r。对于酰胺USTB-5o,亚胺键完全消失,1657 cm−1为羰基伸缩和1253处N–H振动,说明了USTB-5中亚胺键完全转化为酰胺键。SXRD分析揭示,USTB-5r和USTB-5o分别属于具有P6222和P6122空间群的六边形系统。USTB-5r和USTB-5o具有与USTB-5相同的网状骨架、相似的孔隙率和相同的拓扑结构,但连接不同(图2b-d)。

如PXRD图所示(图3a),通过在高真空下从孔中完全去除溶剂(丙酮),脱溶剂的USTB-5(即USTB-5a)被还原/氧化,得到USTB-5r和USTB-5o的块体材料。除了IR光谱数据外,13C核磁共振(NMR)光谱结果进一步支持了USTB-5a的完全化学还原和氧化(图3b、c)。研究揭示了USTB-5a和USTB-5oa的严重结构收缩,丙酮溶剂从孔中的去除率分别达到所制备COF的68.5%和70.2%,与它们的低晶体密度、大孔隙率和框架的大柔性有关。USTB-5a在77 K时的N2吸附曲线表现出逐步吸附行为,BET表面积为1465 m2 g1(图3d),证实了USTB-5a的灵活性。

 图3. USTB-5、USTB-5r和USTB-5o的PXRD图谱、光谱数据和N2吸附行为
选择具有不可逆连接和优异酸稳定性的USTB-5r和USTB-5o来封装H3PO4分子,用于高温(≥100 °C)质子交换膜燃料电池,具有快速的电化学动力学、对气体杂质的良好耐受性以及简单的热和水管理。H3PO4分子在真空下浸渍到去除溶剂的USTB-5r和USTB-5o的空孔中,形成H3PO4@USTB-5r和H3PO4@USTB-5o。PXRD显示,H3PO4@USTB-5r和H3PO4@USTB-5o与合成的COF主体相似,表明在H3PO4浸渍后,动态框架恢复为现成材料。然而,H3PO4@USTB-5r和H3PO4@USTB-5o的缺乏N2吸附行为,表示H3PO4完全占据在USTB-5r和USTB-5o的孔隙中。USTB-5r和USTB-5o中丰富的胺基和酰胺基作为强结合位点,发挥氢键受体和供体的作用,与H3PO4分子相互作用。

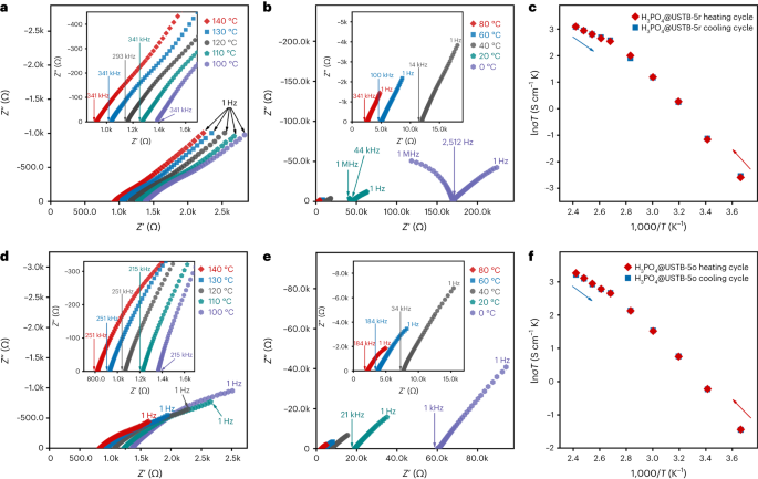
 图4. H3PO4@USTB-5r和H3PO4@USTB-5o的质子电导率

图4显示,H3PO4@USTB-5r在140 °C的无水质子电导率(σ)为5.3×102 S cm1,随着温度降至130、120、110和100 °C时,质子电导率也逐渐降低至4.7×102,4.2×102,3.8×102和3.5×102 S cm1。在140-100°C时,H3PO4@USTB-5o质子电导率为6.3×102,5.6×102,4.9×102,4.2×102和3.8×102 S cm1。交流阻抗测量说明,H3PO4@USTB-5r和H3PO4@USTB-5o在高温区的质子传导过程中都存在低能跳变机制。相反,在80-0°C的低温范围内,它们的质子电导率显著降低,Ea值明显增加。经过循环测试,这些材料展现出了稳定性和可重复性。


04
结论与展望
总而言之,通过SCSC还原或氧化,可将COF中的不稳定亚胺键完全转化为稳定的胺或酰胺,从而为高温质子交换膜燃料电池提供持续高无水质子传导性的高耐酸多孔框架。特别是,SXRD对COFs化学转化的表征,有助于理解其结构灵活性和气体吸附、小分子分离等应用的主客体特性。

文献链接:

https://www.nature.com/articles/s41557-023-01334-7

本文为e测试原创,未经允许,禁止转载!

建议/投诉

我们承诺:工作日内24小时受理,48小时出具解决方案。您也可直接联系:400-630-1090

*反馈类型
服务态度 测试周期 数据质量 开票报账 费用问题 功能使用 样品相关 其他
*反馈描述
*联系方式
附件说明
+

请完成安全验证

为了给您提供更专业的服务

请选择类型

学生

教职工

企业

医院

研究所

我选好了 先不填,跳过