氮化硼(BN)常见的表征方法
2023-11-07 09:35:47 0 3648

氮化硼(BN)是由氮原子和硼原子通过不同杂化方式所构成的晶体。BN晶体主要有四种不同的变体:具有sp3杂化B-N键的立方氮化硼(c-BN)和纤锌矿氮化硼(w-BN),以及具有sp2杂化B-N键的六方氮化硼(h-BN)和菱方氮化硼(r-BN)。其中h-BN和c-BN为热力学稳定结构,r-BN和w-BN为亚稳态结构。不同结构的氮化硼材料表现出不同的性质,通常,氮化硼材料的化学稳定性高,抗氧化能力强,这些性质使得不同结构的材料都有着十分独特的应用价值。

1、扫描电子显微镜(SEM):
图1. h-BN粉末和OH-BN纳米片的SEM图
利用聚焦离子束制备TEM样品,通过TEM来表征样品的微观结构,以进一步研究两个界面之间的结构差异。图2a显示,不同相之间存在清晰的边界。可以测量沿方向的平面尺寸(La)和沿方向的堆叠厚度(Lc),以评估BN的结晶度。如图2b所示,低压沉积的BN1是准各向同性的,具有扭曲和混沌的晶格条纹。Lc小于10层。沉积压力增加后,BN2的结构有序度较BN1提高。图2c显示了靠近SiC纤维的BN结构。晶格条纹无序堆叠,但保持相对平直。La和Lc明显增加。图2d中,外BN界面的结晶度进一步提高,出现了具有几十层的高结晶区域。
图2. 两个BN界面的TEM图
3、高分辨率透射电子显微镜(HRTEM):
如图3所示,样品在BN纳米带气凝胶的纳米孔处显示出均匀的Pt NPs(平均直径5-10nm)。Pt2/BN-na样品的元素分布进一步表明,Pt NPs是均匀且高度分散的(图3c-f)。Pt NPs的两个原子平面距离测量为0.229nm(图3a),与Pt金属沿[111]方向的晶格间距一致。BN-na(002)平均晶面距离为0.36nm,略大于体相h-BN(0.34nm),显示出具有丰富位错结构的涡层BN相。这些具有更多BOx和B-OH种类的位错结构可能是高度分散的Pt NPs的理想锚定位点。
图4展示了hBN薄膜的AFM图和线扫描轮廓(e)及hBN薄膜的AFM特写图(f)。薄膜的清晰边缘使得能够进行非常精确的AFM测量,平均厚度为∼3nm,均方根粗糙度为3.5 nm(图4 e)。图4f中AFM特写图显示了转印过程后这些薄膜中出现了典型褶皱,还可以注意到偶尔出现的微小白点。
图4. hBN薄膜的AFM图
7、x射线光电子能谱(XPS):
8、拉伸:
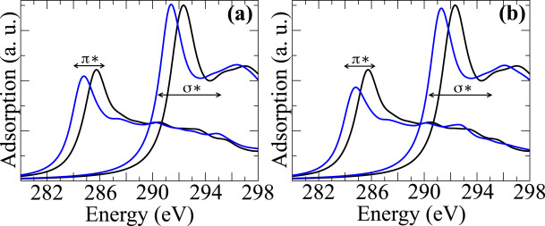
图11显示了原始石墨烯(实心黑线)的模拟C K边缘光谱,以285.8和292.4eV处的C-1s→π*和→σ*跃迁为特征。这导致6.61eV的峰间差[ΔEPP=E(σ*)-E(π*)],与实验测量结果一致。在该序列中,计算了石墨烯碳原子在G/h-BN/和h-BN/G/SiC(蓝色实线)中的吸收光谱。与最近h-BN在G/SiC上的XANES实验结果一致,发现石墨烯碳原子保留了C-1s→π*和→σ*吸收特征及能量差ΔEPP,支持了G和h-BN层之间的vdW相互作用。与原始石墨烯相比,发现G/h-BN/SiC和h-BN/G/SiC的吸收光谱降低了约1eV,其中C-1s→σ*吸收特征保留,但两者的C-1s→π*光谱表现出不同的特征。在G/h-BN/SiC中,由于石墨烯片位于h-BN/SiC表面,吸收特征几乎与原始系统的吸收特征相同,而在h-BN/G/SiC中,发现h-BN封装石墨烯后,吸收光谱的强度降低。
态密度(DOS)分析显示了催化剂的d轨道与两种吸附质的s轨道和p轨道之间的杂化。图12显示,BN-双环己基的峰强度大于双环己基,表明BN-双环己基的杂交强度更高。尽管差异很小,但BN-双环己基的峰也进一步远离费米能级,这是由于在BN影响下,催化剂的d轨道与分子的s轨道和p轨道之间的相互作用更强。这也意味着BN-双环己基具有更高的吸附强度。

[1] Lin-Lin Y, Xi C ,Yan C, et al. Improvement of membrane-forming ability and separation performance of hydroxylated BN membrane by GO via π-π interaction[J]. Desalination, 2023, 565.
[2] Jiajia S, Wei L, Xiaoxu L, et al. Microstructure control of BN interface and its effect on mechanical behavior of SiCf/SiC composites[J]. Vacuum, 2023, 218.
[3] Dong L, Lu W, Xiao Z, et al. Effect of H2O vapor on plasma-assisted partial oxidation of CH4 over PtOx/BN nanoribbon aerogel catalysts[J]. Journal of Catalysis, 2023, 427.
[4] João F, Tiago Q, João R, et al. Room-temperature emitters in wafer-scale few-layer hBN by atmospheric pressure CVD[J]. FlatChem, 2022, 33.
[5] Hong-Liang Zhang, Jia-Yuan Liu, Xiao-Bao Zuo, Jia-Li Tian, Yu-Xiao Zou. A composite epoxy coating with a newly synthetic BN@SiO2 filler and its improvement on the durability of cement-based materials[J]. Construction and Building Materials, 2023, 404.
[6] Siyong Gu, Zhikai Xu, Houan Zhang, Tao Li, Shumiao Zhong, Jidong Ma, Lu Huifeng, Qiao Dongxu, Mingli Qin. Preparation and properties of AlN–BN composite ceramics through combined addition of c-BN and h-BN[J]. Ceramics International, 2023.
[7] Xiao Y, Fang L, Jianhua G, et al. Excellent electrically insulated, thermal-oxidation resistant and corrosion resistant flaky-FeSiAl/BN core–shell composites for high-performance microwave absorption in harsh environments[J]. Composites Part A, 2023, 175.
[8] Simanta L, Madhav K R. Atomistically calibrated Tsai-Wu criterion for orthotropic layered 2D materials and interpreting accuracy – A study on failure of hBN[J]. Mechanics of Materials, 2022, 170.
[9] Nanqi S, Haiyan L, Xin L, et al. ZIF-8 and benzimidazole co-modified h-BN for enhancing anti-corrosion performance of epoxy coatings[J]. Progress in Organic Coatings, 2023, 183.
[10] Yu-Gyeong L, Yun D S, Won C Y, et al. BN-bicyclohexyl material for enhanced reversible dehydrogenation reaction for hydrogen storage: Density functional theory approach[J]. Applied Surface Science, 2023, 641.
[11] Dominike P. de Andrade Deus, João Marcelo J. Lopes, Roberto H. Miwa. Stacking order effects on the energetics and electronic properties of n-doped graphene/h-BN van der Waals heterostructures on SiC(0001)[J]. Carbon,2023, 213.
[12] Yu-Gyeong L, Yun D S, Won C Y, et al. BN-bicyclohexyl material for enhanced reversible dehydrogenation reaction for hydrogen storage: Density functional theory approach[J]. Applied Surface Science, 2023, 641.
[13] Zhaowei Liu, Kang Zhao, Guoxin Xing, Dan Li, Yufei Tang. Synthesis of vertically aligned and interconnected BN fiber skeleton for significantly improving thermal conductivity of PVDF[J]. Diamond and Related Materials, 2023,140.
本文为e测试原创,未经允许,禁止转载!
推荐文章
-
颠覆认知,违背百年经典理论!今日最新《Nature》,将改写教科书!
2021-06-09 19 3240
-
2023-10-11 0 2521
-
2023-12-28 0 2373
-
2023-09-06 0 716
-
2023-04-12 0 702