这项研究成果真正实现用材料造福社会!有望拯救无数骨关节病患者
2020-12-11 16:00:03 11 1473
软骨是人或脊椎动物体内的一种结缔组织,可分为透明软骨、弹性软骨和纤维软骨,为一种略带弹性的坚韧组织,在机体内起支持和保护作用。由软骨细胞、纤维和基质构成。基质含有70%的水分,有机成分主要是多种蛋白,如软骨粘蛋白、胶原和软骨硬蛋白等。在骨关节疾病中,软骨损伤修复是重要的一环。若我们能够修复损伤的软骨,那么很多疾病和痛苦都将随之消失。可惜的是,由于软骨组织缺乏血管和神经,它自我修复能力极为有限,一旦损伤往往引发不可逆的病理改变,并逐步恶化,直至发展为骨关节炎,严重影响关节功能。

每年,全世界有很多人遭受骨骼末端排列的关节软骨的损害疾病,其中膝盖最常见。关节软骨病变的内在愈合能力有限,通常会导致骨关节炎。当前用于软骨修复的策略包括骨髓刺激(微骨折),自体软骨细胞植入,骨软骨移植。这些方法通常具有较高的失败率,康复时间较长(> 12个月),并且对40-50岁的患者疗效较差。传统骨科材料(例如,钴-铬合金,超高分子量聚乙烯)正在探索作为一种替代的策略,但由于它们的刚度太大,这些植入物可能会造成骨质增生。

水凝胶已被广泛地用作软骨替代品,因为与软骨一样,水凝胶主要由水组成且渗透率低,因此其摩擦系数(COF)非常低。但是,当前的水凝胶在循环载荷和磨损条件下没有足够的机械强度和耐久性来代替软骨。如果要使用合成水凝胶替代软骨,则其至少应具有软骨强度,以使其在恢复正常活动时不会失效。软骨的水凝胶替代品还应具有与软骨相同的时间依赖性机械性能,以确保正常的应力分布,疲劳强度和耐磨性与软骨相同或更好,以确保耐用性。

美国杜克大学化学系Benjamin J. Wiley课题组报道了首个在拉伸和压缩过程中均具有软骨强度和模量的水凝胶,并且在10万次循环中表现出与软骨等效的拉伸疲劳强度。通过用聚乙烯醇(PVA)-聚(2-丙烯酰胺基-2-甲基-1-丙烷磺酸钠盐)(PAMPS)双网络水凝胶渗透细菌纤维素(BC)纳米纤维网络来实现这些特性。BC提供的抗张强度类似于软骨中的胶原蛋白,而PAMPS提供固定的负电荷和渗透恢复力,类似于软骨聚集蛋白聚糖的作用。水凝胶具有与软骨相同的弹性模量和渗透性,导致在有限压缩条件下产生与时间相关的变形。这种水凝胶没有细胞毒性,摩擦系数比软骨低45%,且耐磨性是PVA水凝胶的4.4倍。这种水凝胶的优异特性使其成为替代受损软骨的极佳候选材料!相关研究工作以“A Synthetic Hydrogel Composite with the Mechanical Behavior and Durability of Cartilage”为题发表在国际顶级期刊《Advanced Functional Materials》上。


图1. 拉伸强度与模量测试

图2. A,B)BC–PVA,BC–PAMPS和BC–PVA–PAMPS水凝胶的拉伸和压缩应力-应变曲线;C)BC–PVA–PAMPS水凝胶的制备过程示意图;D,E)BC和BC–PVA–PAMPS水凝胶的SEM图像
这种水凝胶由细菌纤维素(BC),聚乙烯醇(PVA)和聚(2-丙烯酰胺基-2-甲基-1-丙磺酸钠)(PAMPS)组成,因此将其称为BC– PVA–PAMPS水凝胶,直径为20 mm的BC–PVA–PAMPS水凝胶(含59%水)的圆柱形样品在100磅重量(压缩应力为1.43 MPa)下表现出<5%的应变,BC–PVA–PAMPS水凝胶具有作为软骨所必需的抗压强度和模量。
通过模拟软骨结构,在BC–PVA–PAMPS水凝胶中获得了与软骨等效的特性。关节软骨主要由水(占重量的60-85%),直径约≈100nm的胶原纤维(占15-22%)和带负电荷的聚集蛋白聚糖(占4-7%)组成。将PAMPS网络添加到水凝胶中,使其从PAMPS分子上的硫酸根基团获得固定的负电荷,从而模仿硫酸软骨素和硫酸角质素组分的作用,使软骨聚集蛋白聚糖具有负电荷,该负电荷导致溶胀软骨的渗透压,有助于提高抗压强度。BC-PAMPS和BC-PVA水凝胶都没有足够的强度。通过将PAMPS网络添加到BC-PVA水凝胶中,将压缩模量(23 MPa)和强度(10.8 MPa)都提高到了软骨当量范围内。

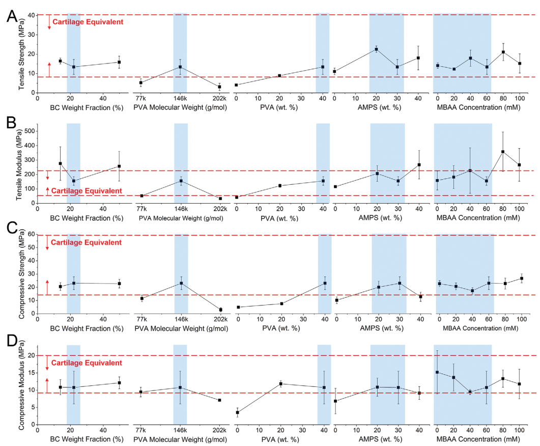
图3. A)BC–PVA–PAMPS水凝胶的拉伸强度,B)拉伸模量,C)压缩强度和D)压缩模量

图4 A)BC–PVA–PAMPS水凝胶和软骨上进行受限单轴蠕变测试的应变与时间关系。B)猪软骨与BC–PVA–PAMPS水凝胶的摩擦系数和磨损深度的比较。C)BC–PVA–PAMPS水凝胶,猪软骨,PVA–PAMPS水凝胶,PAMPS–PDMAAm水凝胶和PVA水凝胶在100000次磨损测试前后的MicroCT图像。D)施加的最大循环拉伸应力与断裂前的循环次数之间的关系
BC 质量分数为13.9%,22.1%或49.8%时水凝胶达到软骨的等效拉伸和压缩强度,当为22.1%的中间值会导致水凝胶具有软骨等效拉伸模量。对于PVA网络,测试了77 000、146 000和202 000 g mol -1的分子量。PVA分子量从77 000 g mol -1增加到146 000 g mol -1,水凝胶的拉伸和压缩强度提高到软骨等效范围内。强度的增加可以归因于氢键的增加和聚合物链之间的缠结。进一步增加分子量到202000 g mol -1导致强度超出软骨等效范围,因为较高分子量的聚合物在渗透过程中未完全溶解。耐磨性和疲劳抗性测试结果表明,该水凝胶具有优异的耐磨性和高疲劳强度。
综上所述,作者首次采用仿生方法制备出具有与人类关节软骨相同强度和模量的水凝胶。细菌纤维素纳米纤维以类似于软骨中胶原纳米纤维的方式为水凝胶提供了拉伸强度。PVA提供弹性恢复力,粘弹性能量耗散,并防止应力集中在单个BC纤维上。PAMPS为水凝胶提供了固定的负电荷和渗透恢复力的来源,类似于软骨聚集蛋白聚糖的作用。BC–PVA–PAMPS水凝胶的总模量(0.78 MPa)和渗透率(3.2×10 -15 m 4 N -1 s -1),使其在受限压缩下具有与软骨相同的时间依赖性机械响应。BC–PVA–PAMPS水凝胶的摩擦系数(0.06)约为软骨的一半,耐磨性是PVA的4.4倍,并且在10万次循环中表现出与软骨等效的疲劳强度,且BC–PVA–PAMPS水凝胶无细胞毒性。这些优异特性使BC–PVA–PAMPS水凝胶成为修复软骨损伤的极佳候选材料。这种超强材料对解除人类骨关节疾病能发挥重要作用,这是材料科学家造福社会的又一实例,为他们点赞!
原文链接:https://onlinelibrary.wiley.com/doi/full/10.1002/adfm.202003451
本文为e测试原创文章,未经允许,谢绝转载。
推荐文章
-
材料与机械的完美结合!里程碑式革新,厦大最新成果问鼎《Science》子刊!
2021-04-25 18 1184
-
2021-06-09 27 1146
-
2022-08-02 0 1076
-
2021-06-25 0 1045
-
《Sci. Adv.》: 真拼!颜值至上都卷到了韩国学术界!
2021-06-25 0 978