国家高新技术企业 CNAS/CMA ISO认证 专精特新企业 新型研发机构 博士后创新实践基地

预约须知

暂不预约,了解常见问题 立即预约

  • 注册即送

    200元首样免单券

  • 首单有礼

    最高600元

  • 邀友得返利

    10%返利

注册即送

200元首样免单券

首单有礼

最高600元

邀友得返利

10%返利

首页 测试百科 材料的介电性能--介电损耗(二)

材料的介电性能--介电损耗(二)

介电损耗 形式 影响因素 应用

01

概述

介电损耗是指电介质在交变电场中,由于消耗部分电能而使电介质本身发热的现象。原因,电介质中含有能导电的载流子,在外加电场作用下,产生导电电流,消耗掉一部分电能,转为热能。表示绝缘材料(如绝缘油料)质量的指标之一。

02

介电损耗的形式

电介质在恒定电场作用下,所损耗的能量与通过内部的电流有关。加上电场后,介质内部通过电流及损耗情况有以下内容:
(I)由样品的几何电容充电引起电流为位移电流或电容电流,这部分电流不损耗能量;
(I)由各种介质极化的建立引起电流,此电流与极化松弛等有关,引起的损耗为极化损耗;
(III)介质的电导或漏导造成的电流,这一电流与自由电荷有关,引起的损耗为电导损耗。
因此,能量损耗与介质内部的松弛极化、离子变形和振动、电导等有关。
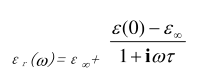
1.损耗因子
介质的损耗由复介电常数的虚部ε,引起,通常电容电流由实部ε,,引起,相当于实际测得介电常数。
2.介电松驰
如同滞弹性一样,在一个实际介质的样品上突然加上一电场,所产生的极化过程不是瞬时完成的,而是滞后于电压,这一滞后通常是由偶极子的极化和空间电荷极化所致。
3.共振吸收损耗
传导损失
传导损失主要是由离子或电子载流子传导产生,可用下式表示
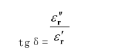
4.介电损耗的表示方法
有关介质的损耗描述方法有多种,如表6.1一种描述方法比较方便,需根据用途而定。多种方法对材料来说都涉及同一现象。即实际电介质的电流位相滞后理想电介质的电流位相δ。

03

介电损耗的影响因素

(1)频率的影响
(2)温度的影响

04

无机介质的损耗

介质损耗是介质的电导和松弛极化引起的。电导和极化过程中带质点(弱束缚电子和弱联系离子,并包括空穴和缺位)移动时,将它在电场中所吸收的能量部分地传给周围“分子”,使电磁场能量转变为“分子”的热振动,能量消耗在使电介质发热效应上。因此降低材料的介质损耗应从考虑降低材料的电导损耗和极化损耗入手。

05

研究应用

1.长安大学材料学院魏俊基博士在高分子领域顶级期刊《高分子科学进展》(Progress in Polymer Science)(IF:24.505)发表了题目为“可用于高能量密度和低损耗电能存储的本征介电聚合物”(Intrinsic polymer dielectrics for high energy density and low loss electric energystorage)的综述论文。该综述首先针对介电聚合物提出了非本征介电聚合物和本征介电聚合物的概念,进一步探讨了这两种介电高分子各自的极化机理和优缺点,深度剖析了在保持低介电损耗的同时,如何尽可能的提高介电聚合物介电常数的可行之路。文章最后提出以偶极玻璃高分子和高分子多层膜为代表的本征介电聚合物是实现高储能电容器的优选材料。
2.郑州大学橡塑模具国家工程研究中心在三维有序结构吸波材料领域取得新进展。相关成果以题为“Multifunctional Magnetic Ti3C2Tx MXene/Graphene Aerogel with Superior Electromagnetic Wave Absorption Performance”的论文发表在材料领域顶级期刊《ACS Nano》上。
本工作通过简单定向冷冻方法将氧化石墨烯(GO)、Ti3C2Tx MXene和Ni nanochains自组装,随后通过结合冷冻干燥和水合肼蒸汽还原,获得具有三维有序结构的多组分Ni/MXene/RGO (NiMR-H)气凝胶。基于电磁损耗理论,同步结合多组分协同损耗和三维有序气凝胶构筑策略,实现了电磁波吸收的协同损耗效应,有效避免吸波剂在基体内的团聚现象。同时,引入磁性纳米粒子有效降低了Ti3C2Tx MXene与自由空间的界面阻抗不匹配性,结合有序多孔气凝胶结构增加的电磁波在吸波体内的损耗路径和空间,大幅增强电磁波在吸波材料内的介电损耗和磁损耗。此外,NiMR-H气凝胶在疏水、隔热、绝燃等多方面表现出显著优势,保证了其作为吸波材料在实际应用中应对各种复杂环境。
论文链接
[1]https://www.sciencedirect.com/science/article/pii/S0079670020300472

[2]https://pubs.acs.org/doi/10.1021/acsnano.0c09982

本文由e测试整理,未经允许,禁止转载。


推荐文章

建议/投诉

我们承诺:工作日内24小时受理,48小时出具解决方案。您也可直接联系:400-630-1090

*反馈类型
服务态度 测试周期 数据质量 开票报账 费用问题 功能使用 样品相关 其他
*反馈描述
*联系方式
附件说明
+

请完成安全验证

为了给您提供更专业的服务

请选择类型

学生

教职工

企业

医院

研究所

我选好了 先不填,跳过