国家高新技术企业 CNAS/CMA ISO认证 专精特新企业 新型研发机构 博士后创新实践基地

预约须知

暂不预约,了解常见问题 立即预约

  • 注册即送

    200元首样免单券

  • 首单有礼

    最高600元

  • 邀友得返利

    10%返利

注册即送

200元首样免单券

首单有礼

最高600元

邀友得返利

10%返利

首页 测试百科 雾度及透过率测试

雾度及透过率测试

透光率及雾度 定义 原理 影响因素

概述

透光率和雾度

是透明材料两项十分重要的光学性能指标,如航空有机玻璃要求透光率大于90%,雾度小于2%。一般来说,透光率高的材料,雾度值低,反之亦然,但不完全如此。有些材料透光率高,雾度值却很大,如毛玻璃。所以透光率与雾度值是两个独立的指标.

雾度和透光率定义

雾度是表征透明试样或半透明试样其内部或表面发生光散射而引起的云雾状状态,即散透射光与总透射光之比,由散射光通量决定。
透光率是表征透明试样或半透明试样透光的能力,即透射光与入射光之比,由总透射光通量决定。
当光线照射在透明或半透明材料时,一部分光会被反射回去(反射光),一部分被吸收(吸收光),一部分则会穿透材料(透射光),但是在透射一部分光中,有一些会保持原来的传播方向,叫做平行射,而另一部分光,则会因为材料的特性在内部散射开去,这部分散射光就是雾度定义中提到的散射光。
通过二者的定义不难发现,雾度描述的关键点是光漫射(或者叫做散射光)。透光率描述的关键点是总透射光通量。所以雾度和透光率是两个不同的概念,定义描述和计算方法完全不同。

测试方法原理

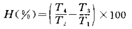
测试时,无入射光时,接受光通量为0,当无试样时,入射光全部透过,接受的光通量为100,即为T1;
此时再用光陷井将平行光吸收掉,接受到的光通量为仪器的散射光通量T3;
然后放置试样,仪器接受透过的光通量为T2;
此时若将平行光用光陷阱吸收掉,则仪器接受到的光通量为试样与仪器的散射光通量之和T4
根据测得的T1、T2、T3、T4的值可计算透光率和雾度值。

结果计算

透光率Tt按下式计算:
雾度值H按下式计算
取5片试样的算术平均值作为结果,取到小数点后一位。

影响雾度和透光率的因素

光源影响
光源不同,它的相对光谱能量分布就不同。
于各种透明塑料有它自己的光谱选择性,同种材料用不同光源测量,所得到的透光率与雾度值不同。颜色越深,影响越大。为了消除光源的影响,国际照明学会(CIE)规定了三种标准光源A、B、C,本方法采用了“C”光源。
表面状态的影响
 试样表面状态,主要指表面是否平 整光滑、有无擦伤和缺欠、是否受到污染。
擦伤对雾度影响较大。对透光率也有影响,所以试样表面不要擦伤。
③表面污染对透光率与雾度的影响
表面污染,对雾度影响大。对透光率相对小一些。表面擦伤和污染均使雾度值增加。对透光率来说,通常使之下降,但有些塑料如Pc、Ps,轻微擦伤和污染表面反使之略有增加。这是因为入射光照射到试样上有一部分被反射,轻度擦伤和污染,使反射减少、透过增加之故,如进一步加重,则透光率下降。
④试样厚度的影响

试样随厚度增加,对光吸收就多,透光率下降,同时引起光散射就增加,所以雾度增加。只有在同一厚度时才能比较透光率和雾度。

本文由e测试整理,未经允许,禁止转载。


建议/投诉

我们承诺:工作日内24小时受理,48小时出具解决方案。您也可直接联系:400-630-1090

*反馈类型
服务态度 测试周期 数据质量 开票报账 费用问题 功能使用 样品相关 其他
*反馈描述
*联系方式
附件说明
+

请完成安全验证

为了给您提供更专业的服务

请选择类型

学生

教职工

企业

医院

研究所

我选好了 先不填,跳过