国家高新技术企业 CNAS/CMA ISO认证 专精特新企业 新型研发机构 博士后创新实践基地

预约须知

暂不预约,了解常见问题 立即预约

  • 注册即送

    200元首样免单券

  • 首单有礼

    最高600元

  • 邀友得返利

    10%返利

注册即送

200元首样免单券

首单有礼

最高600元

邀友得返利

10%返利

首页 测试百科 多孔有机笼(POCs)常见的表征方法

多孔有机笼(POCs)常见的表征方法

多孔材料 多孔有机笼 POCs

多孔有机笼概述

多孔有机笼Porous Organic Cages,简称POCs)是一种新型多孔分子材料,由一些轻质元素(如C、H、N、O、B等)通过共价键连接形成的具有内部空腔结构的三维笼状有机分子这些分子具有刚性骨架结构、形状持久稳固,即使在晶体、无定形固体、多孔液体中也能保持固有的笼型结构。POCs 具有独特的分子内部空腔、可调的孔隙结构、较高的比表面积、良好的溶解性、较轻的材质等优点,在气体吸附和存储、分子分离、催化、传感、色谱等领域都具有广阔的应用前景。


近年来研究较多的新型多孔材料,如金属-有机骨架(MOFs)、共价有机骨架(COFs)、多孔有机聚合物(POPs)都是由较强的共价键或配位键作用形成无限延伸的框架结构或网状结构。与MOFs、COFs、POPs 相比,POCs 是通过较弱的分子间作用力组装形成的多孔材料。因此,POCs 具有较好的溶解性(能够溶解于二氯甲烷、氯仿、甲醇、乙醇等多种有机溶剂中),可溶解在溶剂中形成溶液,易于结构修饰改性。此外,POCs 还易于涂敷成膜,可以制备相应的多孔材料复合膜。那么,POCs材料该如何表征呢?今天给大家介绍几种对多孔有机笼材料来说常见的表征方法。

多孔有机笼常见的表征方法

1、扫描电子显微镜(SEM):

通过扫描电子显微镜(SEM)和透射电子显微镜(TEM)图像,观察了Fe3O4-COOH和Fe3O4-COOH@CC3R-OH的形貌和结构。SEM图像显示,Fe3O4-COOH(图1a、c)纳米粒子呈球形,尺寸均匀,具有优良的分散性。在Fe3O4-COOH@CC3R-OH的SEM图像(图1b)中,Fe3O4-COOH纳米粒子成功掺入CC3R-OH的多孔有机笼中,残留少量未反应的Fe3O4-COOH。TEM图像(图1d)进一步揭示了Fe3O4-COOH纳米粒子被CC3R-OH紧密包裹,形成了核壳结构。这种结构具有四面体形状,表面光滑,内部Fe3O4-COOH核呈黑色,而外部CC3R-OH壳则呈现较浅的颜色。

 图1. Fe3O4-COOH和Fe3O4-COOH@CC3R-OH的SEM和TEM图像


2、透射电子显微镜(TEM):

通过扫描电子显微镜(SEM)和透射电子显微镜(TEM),对CC19粉末的形态与结构进行分析。如图2所示,CC19粉末的粒径分布均匀,结构规则,呈现出微米级的标准八面体结构。能量色散X射线光谱(EDS)分析揭示了C、N和O元素在CC19晶体表面上的均匀分布。基于SEM结果,采用统计方法分析了特定数量的CC19粒径,从而确定了粒径分布。研究结果显示,粒径约为4-6μm,粒径分布较为集中,显示出较好的一致性。

 图2. CC19晶体的SEM和TEM图像


3、X射线衍射(XRD):

图3显示了CC3粉末的X射线衍射(XRD)图谱,清晰揭示了CC3具有优异的结晶度。CC3晶体在2θ=5.96°、9.85°、12.1°、14.0°、15.3°、17.2°、18.3°、19.9°、20.8°、23.1°、27.2°的衍射峰,分别对应CC3的(111)、(220)、(222)、(400)、(331)、(422)、(511)、(440)、(531)和(731)晶面,这些结果与CC3的模拟衍射光谱和文献中报道的实验结果一致。

 图3. CC3晶体的XRD图谱


4、傅里叶变换红外光谱(FT-IR):

采用傅里叶变换红外光谱对巯基化硅胶(SiO2-SH)、手性固定相(CSP)、POC 材料进行了表征。在IR光谱中,与SiO2-SH 相比,CSP在2866cm-1,1636cm-1,1490cm-1 与1456cm-1 处的吸收峰强度显著增加,这主要是由于键合的POC中的-CH-,-C=N-,-C=C-和-CH3-的伸缩振动所导致;而在1096cm-1 处出现的峰则表示Si-O-Si 的反对称伸缩振动,这也证明了POC被成功键合在巯基化硅胶表面。

 图4. SiO2-SH、CSP 和POC的红外光谱图


5、核磁共振(NMR):

利用质子核磁共振(1H NMR)和傅里叶变换红外光谱(FT-IR)对亚胺键的形成及POC的化学结构进行了确认。如图b所示,CC1的特征化学位移为8.19ppm(单峰),CC2为8.14-8.18ppm(多峰),CC4为8.20ppm(主峰),CC3-OH为8.04-8.10、8.24-8.29和8.55-8.62ppm(多峰),这可以归因于亚胺基团(-CH=N-)的质子,有力地证明了希夫碱反应的成功。此外,1H NMR光谱中未观察到醛或胺单体的质子信号,表明这些单体已完全转化。图c中FTIR分析提供了额外的证据,在1645cm-1处的强吸收峰对应于C=N,1598cm-1对应于芳香族C=C(来自醛单体),2850-2950cm-1对应于烷烃C-H(来自胺单体)的拉伸振动。这些特征吸收峰进一步证实了合成笼分子的化学结构。

 图5. CC1、CC2、CC4和CC3-OH 的1H NMR光谱和FTIR光谱


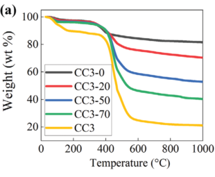
6、热重分析(TGA):

TGA量化了不同CC3的干燥制剂随温度变化的质量变化。TGA曲线显示了具有不同CC3负载的所有样品主要有两个热失重阶段(图6)。第一阶段,即物理吸附溶剂的损失,发生在200°C以下。CC3粉末具有显著的物理吸附能力,质量损失约为10 wt%。随着温度的升高,CC3粉末在≈322°C至≈652°C之间发生热分解,质量损失约为64 wt%。CC3-0相对稳定,在284至450°C之间质量损失为10wt%,这归因于膨润土中铝硅酸盐的脱羟基和F127的分解。干燥制剂和残留物1000°C下在第二阶段的质量损失随着CC3浓度的变化而变化。TGA结果表明,任何在≈300°C下的热处理都会导致CC3的不希望的热分解,从而导致吸附能力的丧失。

 图6. 所有样本的热重分析(TGA)曲线


7、比表面积分析(BET):

笼状结构的孔隙率是在通过196K下的CO2吸附来估算的,因为它们在77K下对N2的吸附行为相对较弱,这是多孔分子有机晶体(如氢键有机框架HOFs、超分子有机框架SOFs和多孔有机笼POCs)的常见现象。如图7所示,CO2吸附等温线表明,这些腙连接的POCs可以在196K和760mmHg下吸附中等体积的CO2,容量高达234cm3·g-1,与文献中报道的其他POC材料(PB-2,265cm3·g-1;Fe PB,225cm3·g-1)相当。

此外,还探索了室温下对CO2和C2H2的吸附能力。结果显示,C2H2的吸附量为31至47cm3·g-1,CO2的吸附量为24至33cm3·g-1(图7c)。由于它们都更喜欢吸附C2H2而非CO2,因此进行了动态C2H2/CO2(50%:50%)突破性实验(图7d)。实验证实,笼状结构可以有效地分离C2H2/CO2混合物,显示出它们在C2H2/CO2分离中具有很好的吸附性能。此外,还代表了实现C2H2/CO2气体分离的前两种腙连接POC材料。

 图7.(a, b)196K和760mmHg下腙连接POCs的CO2吸附等温线;插图为水稳定性试验,黑线代表原始样品,红线代表在水中浸泡一周后的样品;(c)298K下的CO2和C2H2吸附等温线;(d)在298K和1bar下,CO2/C2H2等摩尔混合物在填充床上的实验突破曲线


8、x射线光电子能谱(XPS):

通过XPS对TFN膜的化学成分进行了分析。图8c显示,所有膜都有三个不同的峰,C1、N1和O1。它们的C1光谱被分解为三个主峰,C=C、C=N和C=O。尽管在TFC和CC19-TFN膜中展现出相似的结构,但它们的C、N和O含量不同。根据O/N比,发现TFC膜的交联度计算为50.42%,而CC19-TFN膜的交联程度为44.43%。这表明CC19的引入略微降低了PA膜的交联度(更多的游离酰氯基团通过水解转化为羧基),并形成更松散的结构,这可能对提高膜的渗透性能有积极作用。

 图8. CC19、TFC和CC19-TFN膜的XPS光谱及通过XPS测量的C1s光谱


9、光致发光(PL):

为了探究电荷转移机制,对PS [Ru(bpy)3]Cl2·6H2O在不同量的TEOA或CC3/Pd5存在下进行了荧光淬灭实验(图9a-b)。在PS的光致发光(PL)光谱中,观察到中心位于614nm的发射峰,激发波长为365nm。在加入CC3/Pd5分散体后,观察到PL强度降低,并且随着CC3/Pd5的增加,这种PL强度的降低趋势更为明显。根据Stern-Volmer图,CC3/Pd5对PS的淬灭常数为6.29。淬灭常数遵循以下趋势:CC3/Pd3>CC3/Pd5>CC3/Pd6,表明激发的PS和包含较小尺寸Pd NP的纳米复合材料之间的电荷转移更快,从而提升催化效率。与CC3/Pd5相比,TEOA的加入对PS的荧光淬灭影响微乎其微。图9c中的激子寿命测量也验证了电荷转移过程。在没有CC3/Pd5条件下,PS显示τave的约为294.0ns。然而,在CC3/Pd5存在时,τave显示出更快的PL衰减,约为238.5ns。

 图9.(a)含有0.4mM PS的CH3CN/H2O(v:v=3:1)溶液在0-0.3g·L-1 CC3/Pd5存在下的荧光光谱,激发波长为365nm;(b)TEOA和CC3/Pd5猝灭剂的荧光与猝灭剂浓度的关系的Stern-Volmer图;(c)PS和CC3/Pd5-PS的时间分辨PL光谱


10、紫外-可见吸收光谱(UV-Vis):

为了深入探究Pd纳米簇的尺寸分布与催化性能之间的关系,对4-NP催化氢化为4-AP作为探针反应进行了研究。紫外-可见光谱(UV-Vis)测量用于监测4-NP的反应性。图10a显示,在UV-Vis光谱下,含4-NP的水溶液的吸收峰为317nm。当加入NaBH4后,吸收峰在数小时内红移至400nm,但未发生进一步变化。表明在引入NaBH4后产生了4-硝基苯酸根离子,并且在无催化剂情况下不能继续还原。当微量的Pd@POCs被引入,由于其多孔性,4-硝基苯酚离子富集并吸附在Pd@POCs与NaBH4反应的孔隙,4-NP在400nm处的特征峰逐渐减弱,而在300nm处的新峰被指定为4-AP。如图10b所示,在Pd(1.71%)@FT-RCC3存在下,4-NP氢化为4-AP仅需180s。相比之下,Pd(1.73%)@AT-RCC3(图10c)的催化活性较低,在300s内完全转化,而Pd(1.83%)@RCC3(见图10d)氢化4-NP需要420s。这些结果表明,Pd纳米簇的催化活性与其尺寸成反比,即随着Pd纳米簇尺寸的增加,其催化活性逐渐降低。

 图10. (a)添加NaBH4前后4-NP的UV-Vis光谱;通过(b)Pd(1.71%)@FT-RCC3、(c)Pd(1.73%)@AT-RCC3和(d)Pd(1.83%)@RCC3将4-NP续还原为4-AP


11、理论计算:

CC3/PVAm/mPSf MMM的选择性层由PVAm基质和CC3填料组成,如图11所示。尽管PVAm基质具有致密的结构,但其链段的伯胺基团可作为反应载体,以促进CO2通过可逆反应转移。与PVAm聚合物基质中的曲折通道相比,CC3晶体提供了孔径为4.9Å的快速气体传输通道,超过了CO2(3.3Å)和N2(3.6Å)的分子动力学直径,从而显著提高了CO2和N2的气体传输效率。此外,气体分子与膜材料之间的结合能对气体分子的转移行为具有显著影响。一般来说,结合能的绝对值越大,吸附容量就越高。DFT模拟结果表明,CC3分子笼中的亚胺基团与CO2的结合能(24.9kJ·mol-1)高于与N2的结合能(5.1kJ·mol-1),表明对CO2具有一定的亲和力。因此,CO2分子优先吸附到CC3通道中,然后迅速渗透穿过膜,而N2分子由于孔径的限制而受阻。总的来说,在引入CC3晶体后,CC3/PVAm/mPSf MMM可以显著提高CO2渗透率,并保持一定的CO2/N2选择性。

 图11. CC3/PVAm/mPSf MMM中气体输送通道示意图


文献

[1] Qiuhui X, Wenxiang Z, Quan C, et al. A novel magnetic porous organic cage adsorbent for high-efficient removal of endocrine disrupting chemicals from environmental water[J]. Chemical Engineering Science, 2024, 285119621-.

[2] Chen T, Wu X, Li K, et al. Elucidating the impact of porous organic cage on thin film nanocomposite membranes for elevated nanofiltration[J]. Desalination, 2024, 576117362-.

[3] Zhiyuan Z, Jixiao W, Zhi W, et al. Mixed-matrix membranes comprising porous organic molecular cage for efficient CO2 capture[J]. Carbon Capture Science & Technology, 2024, 10.

[4] 王莹.手性多孔有机笼用作高效液相色谱固定相的研究[D]. 云南师范大学, 2022. DOI: 10.27459/d.cnki.gynfc.2022.001183.

[5] Tan L, Ren S, Sun K J. Rapid and scalable synthesis of porous organic cages with solvent recyclability[J]. Journal of Solid State Chemistry, 2024, 333124605-.

[6] Bin L, Rishav A, Donglin H, et al. 3D-Printed Porous Organic Cages for Gas Filtration:Fabrication and Flow Simulations[J]. Advanced Functional Materials, 2024, 2405320.

[7] Miao Y, Fenglei Q, ElSayed E M, et al. Water-stable hydrazone-linked porous organic cages[J]. Chemical science, 2021, 12(40): 13307-13315.

[8] Chen T, Wu X, Li K, et al. Elucidating the impact of porous organic cage on thin film nanocomposite membranes for elevated nanofiltration[J]. Desalination, 2024, 576117362-.

[9] Hui L, Lifang G, Shenghe S, et al. Photoreduction of low concentrations of CO2 into methane in self-assembled palladium/porous organic cages nanocomposites[J]. Chemical Engineering Journal, 2023, 474.

[10] Jinfang K, David W W, Jian F, et al. Precisely controlled Pd nanoclusters confined in porous organic cages for size-dependent catalytic hydrogenation[J]. Applied Catalysis B: Environmental, 2022, 315.

[11] Zhiyuan Z, Jixiao W, Zhi W, et al. Mixed-matrix membranes comprising porous organic molecular cage for efficient CO2 capture[J]. Carbon Capture Science & Technology, 2024, 10.

本文为e测试原创,未经许可,禁止转载!

建议/投诉

我们承诺:工作日内24小时受理,48小时出具解决方案。您也可直接联系:400-630-1090

*反馈类型
服务态度 测试周期 数据质量 开票报账 费用问题 功能使用 样品相关 其他
*反馈描述
*联系方式
附件说明
+

请完成安全验证

为了给您提供更专业的服务

请选择类型

学生

教职工

企业

医院

研究所

我选好了 先不填,跳过