国家高新技术企业 CNAS/CMA ISO认证 专精特新企业 新型研发机构 博士后创新实践基地

预约须知

暂不预约,了解常见问题 立即预约

  • 注册即送

    200元首样免单券

  • 首单有礼

    最高600元

  • 邀友得返利

    10%返利

注册即送

200元首样免单券

首单有礼

最高600元

邀友得返利

10%返利

首页 测试百科 大爆发!本硕双非,博士211,他近日再发第6篇Science!

大爆发!本硕双非,博士211,他近日再发第6篇Science!

Science 北京航空航天大学 热电材料 热电性能 n型硒化锡晶体 品质因数


一、研究背景

热电材料在绿色能源生产方面有着巨大的潜力,因为热电之间的转换。热电性能由无量纲品质因数ZT= S2σT/κtot确定,其中S是塞贝克系数;σ是电导率;T是开尔文温度;κtot是总热导率,包括晶格导热系数κlat和电子导热系数κele

虽然这些参数之间复杂的相互关系对优化热电性能提出了挑战,但经过几十年的努力,研究人员已经开发出几种策略来解决这一问题,包括能带结构工程以增强电传输特性,设计多维缺陷以抑制热传导,以及利用固有的低热导率材料来专注于电传输特性的优化。由于这些策略,ZTmax值超过2.0的热电材料不再像几十年前那样罕见。然而,高ZT值可能源于使用Z而不是ZT在不同温度下的电子和声子输运的温度。关于热电装置的设置,一些现有技术的热电材料仍然不能满足必要的要求,因为实际的热电装置需要在宽温度范围内的高ZT,即高ZTave

由于宽带隙半导体在较宽的温度范围内表现出较高的热电性能,因此最近受到了广泛关注SnSe是一种宽禁带(0.86 eV)的层状半导体,在p型和n型晶体中都表现出显著的热电性能。pSnSe晶体中动量和能量多波段排列的最新策略已经在300773 K沿着面内方向实现了约1.9的高ZTave。然而,其n型对应物在相同温度范围内的热电性能需要进一步提高。与pSnSe晶体相比,nSnSe晶体在面外方向上实现了更高的热电性能。不同的优化结晶方向源自不同的层状晶格结构。p型和nSnSe晶体中的热输运几乎相同,因为声子色散与晶格振动有关,而与载流子类型无关。因此,由于强的非谐性,所有晶体学方向都具有低的κlat,而面外κlat是最低的,因为额外的层间声子散射[二维(2D)声子]。然而,由于价带和导带中不同的能带色散,p型和nSnSe晶体中的载流子输运不同,因此在nSnSe (3D电荷)中,载流子输运倾向于在面内方向上重叠,但是沿着面外方向重叠。因此,pSnSe晶体中的面内方向由于超高的面内电荷输运和低声子输运而呈现优化的热电性能,而nSnSe晶体中的面外方向由于3D电荷输运和最低的2D声子输运而呈现优化的热电性能。虽然nSnSe的已建立的3D电荷和2D声子输运促进了高的电输运性质,同时沿着面外方向使用最低的k,但是沿着面外方向的强的声子-电子耦合阻止了载流子迁移率(μH)的进一步提高。

二、研究成果

热电材料允许热和电之间的直接转换,提供了发电的潜力。平均无量纲品质因数决定器件效率。n型硒化锡晶体表现出突出的三维电荷和沿面外方向的二维声子输运,导致较高的最大品质因数ZTmax 3.6×10-3开尔文,但ZTave1.1近日,北京航空航天大学赵立东教授等研究人员通过声子-电子解耦,在掺氯和铅合金化的硒化锡晶体中发现了在748开尔文下的约4.1×10-3 开尔文的高ZTmax和在300773开尔文下的约1.7 ZTave。氯诱导的低形变势提高了载流子迁移率。铅引起的质量和应变波动降低了晶格热导率。声子-电子解耦对实现高性能热电器件起着至关重要的作用。相关研究工作以“High thermoelectric performance realized through manipulating layered phonon-electron decoupling”为题发表在国际顶级期刊《Science》上。据报道,这是赵立东教授在Science发表的第六篇文章!厉害!

赵立东教授,1979年生于哈尔滨。20012005年先后获得辽宁工程技术大学学士和硕士学位。2009年获得北京科技大学材料学博士学位。2009-2014年先后在巴黎十一大学和美国西北大学从事博士后研究。2014年入职北航卓越百人计划。2016年获北京市师德模范称号。2017年获国际热电学会青年科学家奖。2018年获北京市杰出青年基金项目支持。

主要研究兴趣为热电能源转换材料,发现了多种具有层状结构的高效热电材料(BiCuSeO, SnSe, SnS等),利用层状各向异性协同调控复杂耦合的热电参数。已在ScienceNatureChem. Rev.J. Am. Chem. Soc.Adv. Mater.Energy Environ. Sci.等期刊上发表SCI论文170余篇,被引用12000余次。授权美国专利1项,国家发明专利10余项

 

三、图文速递

1. 通过增强三维电荷和2D声子输运实现电子和声子解耦

2. 沿面外方向的电输运性质

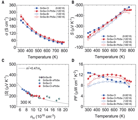
作者研究了Cl掺杂和Pb合金化对n型SnSe晶体的电输运和热输运的影响。首先,研究发现掺氯的SnSe (SnSe-Cl)晶体比掺溴的SnSe (SnSe-Br)晶体表现出大约30%的载流子迁移率(μH),而没有恶化有效质量m* (effective mass)。此外,在高温同步辐射x射线衍射(SR-XRD)的结果中,SnSe-Cl显示出显著更高的晶体对称性。这种显著的结构修改导致它们的变形势降低,大大解耦了电子和声子输运,从而增强了μH (图1A)。结合不变的m*,作者发现功率因数PF (power factor,PF = S2σ) 显著改善。具体来说,室温PF从SnSe-Br中的约8.6 μW cm-k-2增加到SnSe-Cl晶体中的约12.8 μW cm-k-2,具有相当的霍尔载流子浓度(nH),在300到773 K之间增加了约20%,达到约1.2。这些结果表明,改善μH可以获得更高的ZTave。此外,作者在SnSe-Cl中引入了Pb,进一步优化了ZTave。Pb合金化在两个方面促进了电荷和声子的传输:它通过导带收敛增加了m*,并通过增强的质量和应变波动降低了klat。在748 K下,在铅合金化的SnSe中获得了0.24 W cm-k-1的低ktot。此外,作者研究并重新评估了两步连续相变过程中的ktot。应用相变速率模型来消除潜热对实际热容的高估作用。最后,在n型氯掺杂和铅合金化的SnSe晶体(SnSe-Cl-PbSe)中,在748 K获得了约4.1×10-3 -1的ZTmax(图1B)和在300至773 K获得了约1.7的ZTave(图1C)。

3. 促进载流子迁移率

4. 沿面外方向的热传输特性

通过在n型SnSe中使用Cl和Pb促进三维电荷传输和增强二维声子散射来改善μH和减小klat,作者证明了电子和声子解耦合。通过还原由应变和温度引起的高晶体对称性而得到的形变势,可以得到较好的形变势。Pb合金化引起的质量和应变波动降低了klat。应用相变速率模型修正了相变过程的实际ktot。在300~773 K时,n型SnSe-Cl-PbSe晶体的ZTave为1.7。最高性能表现出良好的热稳定性。还测量了SnSe-Cl-PbSe在面内和面外方向的热电性能,以表明其优异的面外热电性能。这些发现缓解了p型和n型SnSe晶体之间的热电性能差距,表明了声电子解耦对实现高性能热电器件的关键作用。

四、结论与展望

作者最后指出,与热电材料的实质性进展相比,热电模块的研究进展缓慢。在现阶段,使用最先进的材料制造模块已经成为广泛商业应用的最关键的任务。未来的研究应该更加关注对工程问题进行系统的基础研究的问题,如模块结构、接触层、界面稳定性等。具体来说,低机械强度是层状材料的另一个挑战。因此,通过控制层间弱化学键来提高机械强度或利用其先进的离面传输方式来设计热电薄膜模块将是未来很有前途的研究领域。

五、文献

文献链接:

https://www.science.org/doi/10.1126/science.abn8997

文献原文:

关注公众号『材料PLUS』,后台回复“热电”,即可获取文献原文。

本文为e测试原创,未经允许禁止转载。


建议/投诉

我们承诺:工作日内24小时受理,48小时出具解决方案。您也可直接联系:400-630-1090

*反馈类型
服务态度 测试周期 数据质量 开票报账 费用问题 功能使用 样品相关 其他
*反馈描述
*联系方式
附件说明
+

请完成安全验证

为了给您提供更专业的服务

请选择类型

学生

教职工

企业

医院

研究所

我选好了 先不填,跳过