X射线多晶衍射(XRD)
满意度: 99%
仪器型号:
日本-Rigaku-SmartLab,德国-Bruker-D8 ADVANCE,英国-Malvern Panalytical-X'Pert3 Powder,德国-Bruker-D6 PHASER,日本-Rigaku-Ultima IV
日本-Rigaku-SmartLab,德国-Bruker-D8 ADVANCE,英国-Malvern Panalytical-X'Pert3 Powder,德国-Bruker-D6 PHASER,日本-Rigaku-Ultima IV
预约次数:
154242次
服务周期:
平均2.0-4.0个工作日
测试收费:
项目推荐
项目介绍
样品要求
结果展示
常见问题
预约须知
1.样品要求:粉末样品不少于50mg,块体样品无法研磨(样品需要提前研磨至微米级粒径,颗粒较大将导致图谱峰形不完整或出现偏差);
2.块体和薄膜样品必需标记测试面,块体或薄膜在1×1cm到2.0×2.0cm,厚度小于0.5cm(至少有一个面是平整的);请勿使用模糊的文字描述,避免引起歧义;不符合上述要求的异形样品,需要加收制样费用;
3、液体样品不能具有腐蚀性,需要10ml量,液体测试效果可能不佳,建议尽量处理成粉末样品测试。
4. 为保证数据质量,实际测试的角度范围应为测试模式最大角度区间的子集,例如选择了“常规模式”则具体角度范围应在5~90°之间,不应小于5°或大于90°。超出范围,实验结果准确性不保证,且需要额外加收费,一般不建议常规模式从5以下开始。一般实验室会按照默认的步长进行测试。
5. 含Fe,Co,Mn,Ni元素建议用Co靶测试,常规XRD为Cu靶测试此类样品会有较强的荧光效应。
6.不接含放射性元素,腐蚀性,挥发性物质以及液体样品。
特别注意:测试是连续扫描;特殊尺寸请提前沟通,表面不平整,样品尺寸较小,粒度大小可能会影响数据效果,测前请依据自己的测试目的进行确认;非标准样品可以上机,数据质量无法保证,以实际结果为准。块体样品不能选区,如对特定区域有要求,可以考虑微区xrd。
展开全部收起
项目介绍
当一束单色X射线入射到晶体时,由于晶体是由原子规则排列成的晶胞组成,这些规则排列的原子间距离与入射X射线波长有X射线衍射分析相同数量级,故由不同原子散射的X射线相互干涉,在某些特殊方向上产生强X射线衍射,衍射线在空间分布的方位和强度,与晶体结构密切相关,每种晶体所产生的衍射花样都反映出该晶体内部的原子分配规律。这就是X射线衍射的基本原理。
样品要求
1.粉末样品不少于50mg(样品需要提前研磨至微米级粒径,颗粒较大将导致图谱峰形不完整或出现偏差);
2.块体或薄膜在1×1cm到2.0×2.0cm,厚度小于0.8cm(至少有一个面是平整的)块体和薄膜样品需要标注测试面;
3.常规XRD无法处理流体样品;
4.不符合上述要求的异形样品,需要加收制样费用;
粉末样品槽如下图,样品量需能完全填充样品槽

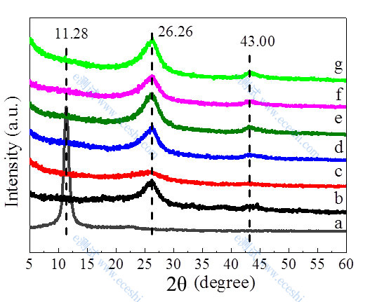
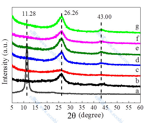
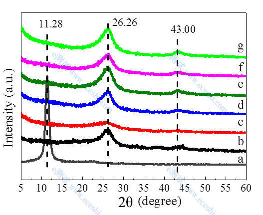
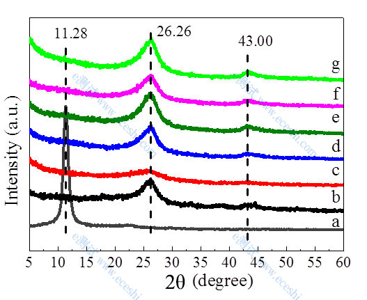
结果展示

常见问题
样品峰信号不好,测试时候有没有什么改善方法呢?
建议只扫出峰位置,这样强度和峰形会较好一些;
XRD测试薄膜样品,对膜厚有什么要求呢?
XRD常规模式要求膜厚必须均匀,有些薄膜不均匀,两边厚中间薄是会影响峰强度的;
XRD定量的准确度如何呢?
XRD只能做半定量分析,定量结果只能参考,准确度不高;
XRD掠入射角度的选择?
掠射角度建议越小越好,一般都是0-1°最好,例如0.5°,不建议2°或3°,这种基本不叫掠射,基底的信号也会比较明显;
有荧光散射的样品测XRD,数据会受影响?是否可以改善?
有荧光散射现象的样品,比如铁,铜靶测试铁含量较高的样品时,测试结果基线会比较高,这种情况是无法改善的;
400-630-1090
推荐文章
-
2023-12-25 1 4180
-
2023-12-07 0 4113
-
2023-11-07 0 3407
-
2023-11-28 0 3165
-
2023-12-18 0 3027
论文致谢